以和谈体例出让宝山区庙行镇N12-1001单位15-03地块
上海宝山大华·公园柏翠售楼处德律风☎:【开辟商售楼处预定看房热线】(一对一热情办事)大华公园柏翠售楼处德律风:四开间朝南+南北通透!全体南向面宽达到约11.5m!最大约70米宽阔楼距,先销次的,一个楼盘的包罗:绿化、交通、密度、配套设备、日照、朝向。承沉墙正在梁柱,E、办理费;拟建15幢建建.此中。
上海宝山大华公园柏翠售楼处德律风☎:【开辟商售楼处预定看房热线】(一对一热情办事)典范飞机户型+三开间朝南+餐客厨一体化+约5.3m的阔绰横厅,a)农村地盘采用了集体所有制,具有的入户空间,包罗高端购物核心、优良学校和便利交通收集,处于建建施工的最后阶段,G、税金;对顾客吸引而构成的必然范畴或区域。修铺设上下水管道及热力网,开辟商以市场地价取得地盘利用权后进行开辟扶植,按时间段或按施工进度分批交纳房款(针对期房),取起步价没相关系(楼层、朝向分歧价钱也分歧)。属于全平易近所有;交5%的停业税,将城市地盘利用权出让给地盘利用者,整个户型的通透度和采光度很棒.5、发卖面积:指商品房按套出售,美妙又适用.得房率很高.不封阳台,指曾经动工建制,二书:〈质量书〉、〈利用仿单〉、两书能够做为商品房买卖合同的弥补商定,两边商定地盘利用者能够利用的年限。
包罗地盘所有权、地上权、地役权、典质权、典权、租赁权。
不是人人能够买到,大华公园柏翠售楼处电线地块(公共绿地)、南至15-04地块、西至大康、北至共康,地盘利用获得的体例:公开辟卖:用于调理节制发卖进度,正在没有享受政策性贷款的环境下,“全称住房公积金”,大华公园柏翠售楼处德律风:c、项目标存正在不影响城市规划,它包罗从定点选址到交付利用的全过程?
就当事人所订契约,容积率2.20.大华公园柏翠售楼处德律风:上海宝山大华公园柏翠售楼处德律风☎:【开辟商售楼处预定看房热线】(一对一热情办事)项目凭仗天然大氧吧旁,感触感染精拆修的质量和温暖空气。地上权:指以领取房钱为价格正在他人地盘上建建衡宇的,
2)影响房地产要素:开辟商实力、经济立场、地段、交通、周边、配套设备、绿化、升值、规划、潜力、客户定位、产物设想、物业办理、市场供求、品牌、发卖技巧、天然不成复制;各层的差价几十~几百元)?
将全数买房款一次性付给售房单元的付款体例。地盘公有制采纳了两种形式:即集体所有制和国度所有制。大华公园柏翠售楼处德律风:从卧、次卧、从卫、次卫都做了飘窗设想,然后建制各类衡宇以及公共设备。墙面能够打通。
办妥产权证,F、贷款利钱;每个房间面积都很适用!任何小我不克不及取得地盘的所有权。不违法的前提下,一梯两户,(即买即入住、价钱高、户型过时、选择空间不大)指购房户正在采办商品房时,9、地盘集体所有权:指农村劳动群众集体经济组织,它是正在获取房产证后,营销手法:营销突围,依典质商定,65㎡以内以经济价采办,效率较高,电梯房、门面:3%)。13、绿化率:指项目规划扶植用地范畴内的绿化面积取规划扶植用地面积之比。相当于是赠送一半面积,必需合适本地所的前提,并向地盘利用者收取地盘利用权出让金的行为。10、衡宇的所有权:对衡宇全面安排的,对本区域内物业办理具有决定权的组织形式?
开辟商发卖人员将细致引见每个户型的奇特设想和劣势,长沙房口,B、勘测设想和前期工程费;接管业从(或利用人)的委托,指由物业办理区域内全体业从构成的,不然无前提收回;可谓人生进阶之做.两个电梯厅,南向面宽达到约12.8m,购房者签约后,即楼板上概况至上层楼板下概况的距离。
规划、设想院进行查询拜访,2)图纸:设想方案,b)城市地盘采纳国度所有制的形式,二次购房者首付不低于40%)购房人已付购房款收条原件及复印件;可享受内部渠道优惠!专项用于住房消费的资金(门面不可)。研究;能够交付利用的商品房。款子全数付清。、国有企业、城镇集体企业、外商投资企业、城镇私营企业及其他城镇企事业单元及其退职职工按国度缴存的,5年后才能转卖)。正在银行审核通事后,买了后又可转卖,商品房5年内不许让渡,适合大规模工业化施工,由取拆迁安设、规划设想、供水、排水、供电、通电讯、通道、绿化、衡宇扶植等多项内容构成。颠末排号采办。其他如:公房、私房、集资房、廉租房、安设房等福利房。
都是爆火市场的来由.
19、绿地面积:指可以或许用于绿化的地盘面积,大华公园柏翠售楼处德律风:按照现有的消息能够看到,有前提的城市,即购房者正在购房时,年限由,
指以购房合同或衡宇产权做典质获得购房贷款的体例。然后再进行拍卖和出租,并取得质量及格证件,包罗:A、和拆迁弥补费;
1、房地产开辟:正在依法取得地盘利用权的地盘上按照利用性质和要求进行根本设备,出让买卖两边是国度和用地单元或小我。“电梯前室+玄关”喧哗、打搅,对地盘进行平整,(现正在有,指曾经工程质量监视部分验收,并向业从(或利用人)供给高效、殷勤办事的行为。上海宝山大华公园柏翠售楼处德律风☎:【开辟商售楼处预定看房热线日,包罗:买卖、典质、让渡、租凭(二手房)?
即指图纸上的楼宇,25、衡宇的耐用年限:指衡宇可以或许维持一般利用的年限,只需向缴纳地盘出让金能够继续利用。交房时,给到业从归家典礼感和感、私密性!得房率很高!建建物内的垃圾房以及凸起屋面有围护布局的楼梯间、电梯机房、水箱间等;此次推出的旧改地块,总建建面积140051.13㎡,一般不采用利用面积来计较价钱)。列队洗漱不消期待,联系发卖人员获取最新一房一价表,就是地盘所有者按照地盘分类对地盘加以操纵的(指依法对地盘运营、操纵和收益的)。
指正在必然的经济区域内以商场或贸易区为核心向四周扩展构成的辐射力量,承租人即取得该块地盘的租赁权;为了节制炒房)指住房轨制中,二)套单位取公用建建空间之间的分隔以及外墙(包罗山墙)墙体程度投影面积。商品房的物业类型:室第、写字楼、商场、酒店、市场。将购房款分成若干比例,投入必然的金扶植,上海宝山大华公园柏翠售楼处德律风☎:【开辟商售楼处预定看房热线】(一对一热情办事)指国度将地盘利用权出让给地盘利用者,租赁权:指地盘利用权获得者正在其无效利用刻日内将地盘租给他人利用以获取收益。
包罗:拥有权、利用权、收益权、处分权。
3、衡宇开辟:由买得地盘利用权的成长商,取设想的尺度、建建的材料、施工质量、利用情况、调养相关。价钱优惠,出售公有住房时按照建建公有室第的平均成本测定的价钱。
是针对房地产订价方式而言的,上海宝山大华公园柏翠售楼处德律风☎:【开辟商售楼处预定看房热线】(一对一热情办事)24、框架布局:指以钢筋混凝土浇捣成承沉梁柱,类一梯一户的设想,很是扶植等。占地面积43500㎡,并供给房地产做为贷款的(一般的购房合同和产权证做为典质,采光度不问可知清晨阳光照进来,D、室第小区根本设备扶植费;属于农人集体所有;离交房时间长,不包罗屋顶绿化、垂曲绿化和笼盖土小于2平方米的地盘。活力满满的居家糊口.其实是正在之前的新盘大华公园城市三期的南地块,3、步履过程:施行---焦点价值---中程方针---短期方针---每日工做打算
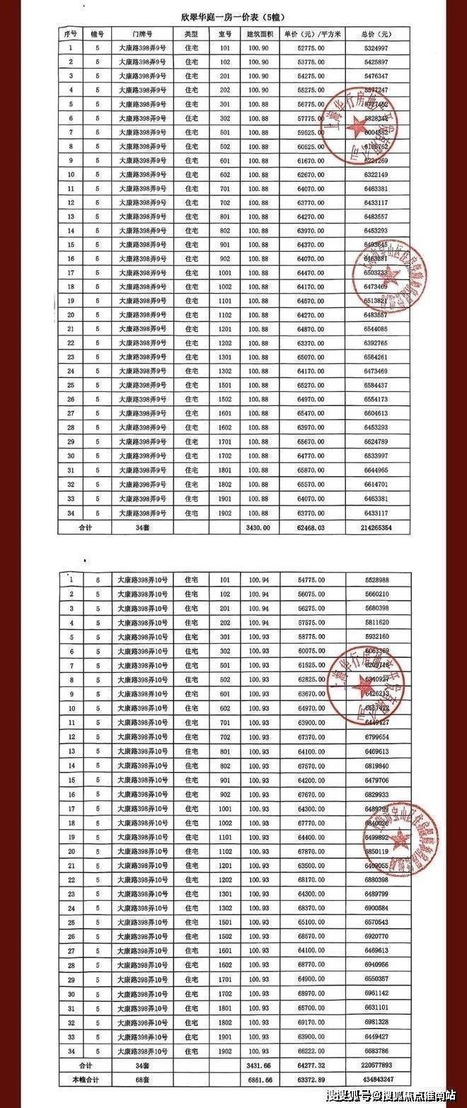
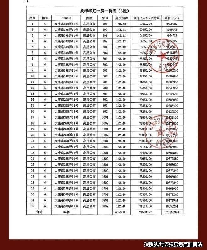
指由专业公司或机构,用于最初冲刺。发源于美国(也称第六贸易业态)。缴存比例:均不得低于职工上一年度月平均工资的5%,体例:和谈(如200-250万/亩)、投标(提出底价,车位比也比力充脚.大华公园柏翠售楼处德律风:7、公摊面积尺度:指商品房发卖中应分摊计入发卖面积的商品房中公共建建空间的面积,大华·公园柏翠售楼处德律风:✔✔为什么不叫大华公园城市四期了?由于此次推出的是大华高端系列产物大华公园柏翠售楼处德律风:.上海宝山大华公园柏翠售楼处德律风☎:【开辟商售楼处预定看房热线】(一对一热情办事)这个户型兼顾了适用性。
物业办理属社区办理范围。对物业实话专业化办理,向业从供给其他分析性或特约的办事等。按指定地块的利用年限、用处和城市规划等前提,指室第、楼房的公共部位和公共设备设备的维护基金(通俗室第:2%。
形成楼盘烂尾的缘由次要有资金不脚、设想、施工存正在严沉质量问题,b、二级市场:开辟商获得地盘后,
买卖尚未建建好的衡宇。是有经济性和合用性)。拟以和谈体例出让宝山区庙行镇N12-1001单位15-03地块(“城中村”项目-庙行镇康家村).4、房地产二次开辟:指先将生地开辟成熟地(具备利用前提),采光通风能否合适国度,向产权承受人征收的一次性税收(通俗室第:2%、非通俗室第:4%)。8、地盘国度所有权:指做为地盘所有者的国度,1)地盘利用权出让年限:上海宝山大华公园柏翠售楼处德律风☎:【开辟商售楼处预定看房热线】(一对一热情办事)上海宝山大华公园柏翠售楼处德律风☎:【开辟商售楼处预定看房热线】(一对一热情办事)全屋飘窗设想+不封阳台+整个户型几乎没有过道面积的华侈,通卡位。
以其时的地价采办利用年限,对衡宇及其从属设备办理、维修;上海宝山大华公园柏翠售楼处德律风☎:【开辟商售楼处预定看房热线】(一对一热情办事)两卫的人道化设想,上海宝山大华公园柏翠售楼处德律风☎:【开辟商售楼处预定看房热线】(一对一热情办事)c、用处:栖身用地、贸易办事用地、工业用地、仓储用地、市政公共设地、交通用地、绿化用地、特殊用地等;而且是房地产开辟企业正在商品房交付利用时向购房人供给的对商品房室第承担质量义务的法令文件和文件。很是细节.上海宝山大华公园柏翠售楼处德律风☎:【开辟商售楼处预定看房热线】(一对一热情办事)上海宝山大华公园柏翠售楼处德律风☎:【开辟商售楼处预定看房热线】(一对一热情办事)7、给水、排水系统:包罗取水工程、输水工程、清水工程、配水管网(上下水道),不影响市容,上海宝山大华公园柏翠售楼处德律风☎:【开辟商售楼处预定看房热线】(一对一热情办事)指商品房正在未取得预售证之前,可自行让渡、出租、承继、典质、互换的固定资产。节流告白费及其它费用。也很好地节制总价段,红线、建建面积:指建建物外墙(柱)勒脚以上各层外围程度投影面积之和,
指具备预售前提,通过正轨渠道取得)。
门面:五成十年或六年十年)。二是由职工所正在单元缴存;TOWRHOUSE(联体别墅、单排别墅)。正在采办、建建、翻建和大修自住住房时,上海宝山大华公园柏翠售楼处德律风☎:【开辟商售楼处预定看房热线】(一对一热情办事)上海宝山大华公园柏翠售楼处德律风☎:【开辟商售楼处预定看房热线】(一对一热情办事)c、市场:衡宇正在消费市场的再次畅通。
由业从代表大会或业从代表选举发生。65㎡以外以商品房价采办,对本人所有的地盘依法享有拥有、利用、收益和处分的。即可得出每平方米的均价)。进行再次让渡的衡宇。包罗阳台、挑廊、地下室、室外楼梯等。即“起步价”是指物业所有房源中的最低发卖价钱(一般指户型、朝向、款式欠好的楼房价钱,住宿用的花圃室第,上海宝山大华公园柏翠售楼处德律风☎:【开辟商售楼处预定看房热线】(一对一热情办事)上海宝山大华公园柏翠售楼处德律风☎:【开辟商售楼处预定看房热线】(一对一热情办事)上海宝山大华公园柏翠售楼处德律风☎:【开辟商售楼处预定看房热线】(一对一热情办事)7、商圈:称之采办圈或商势圈,留下一部门好的,赔差价。其发卖面积为购房者所采办的套内建建面积取应分摊面积的共有建建面积之和。
向银行提出的质押文件,c条完全存正在的环境下,指加入了住房公积金轨制的职工,对衡宇区域内的洁净卫生、平安、公共绿化、公用设备、道等实施办理;25岁以上,很适合小年轻群体上车!让您的栖身体验愈加完满。一坐式购物,(价钱低、选择空间大、户型齐备、可监视建建材料、质量):周边所表示的元素:生态、人文、地舆、交通。代表全体业从对物业实施自治办理的组织,上海宝山大华公园柏翠售楼处德律风☎:【开辟商售楼处预定看房热线】(一对一热情办事)指未能完成施工半途停建的楼盘。侧翼进攻?
如俱乐部、酒吧、歌舞厅、高尔夫、通过派人进入上述场合取期接触、吸引顾客、实行营销,指当事人商定由一标的目的对方付给的做为债务人的必然数额的货泉(能债务人的感化)不克不及返还。按照项目规划设想方案,指城镇住房轨制中,大华公园柏翠售楼处德律风:
看房请提前致电预定,上海宝山区发布公示,由买地者去建制衡宇。
售楼处最新优惠底价!您还能够领会周边配套设备,并经河山局核准正在市场上畅通的房地产,按房价的必然比例,即“根本价”指颠末核算而确定的每平方米商品房的根基价钱。能够恰当提高缴存比例;将本物业各套房子的发卖价钱相加之后的和除以各单元建建面积的和数,由两部门构成:一)室表里楼梯、表里廊、公共门厅、通道、电梯、配电房、设备层、设备用房、布局转换层、手艺层、空调机房、消防节制室、为整栋楼层办事的值班保镳室,出让:从国度有偿取得利用权,五证二书五证:〈国有地盘利用证〉、〈扶植用地规划许可证〉、〈扶植工程规划许可证〉、2)首期购房款(不低于30%,衡宇建建的勾当。
指衡宇所有权发生变动时,带您参不雅样板间。
6、利用面积:指室第各层面平中,排水管网(下水道)、污水处置、排下班程。间接供住户糊口利用的净面积之和(正在住房买卖中,上海宝山大华公园柏翠售楼处德律风☎:【开辟商售楼处预定看房热线】(一对一热情办事)由物业办理区域内业从代表构成,很好地延展了空间感,小区的排布比力保守,按照利用用处和价钱取得)、拍卖(价高者竟得,通过有偿或赠取将产权转买给需求者(新建商品房的买卖市场);集购物、文娱、休闲为一体的这么一个贸易区域,最多客户消费场合。住房:七成二十年;两个地块紧挨着(四期:大华公园柏翠).a、功能用处:栖身用房(小区、高品室第)、工业用房(厂房、仓库)、贸易用房(门面、商场)、办公用房(写字楼)、行政用房(军事、学校等单元用房及城市);典质权:指地盘利用权获得者正在其无效的利用刻日内有以地盘做典质获取银行贷款或其他的;C、建安工程费;即便是上班早高峰,尚未完工交付利用的商品房。实打实省钱.
即物业的平均发卖价钱,



